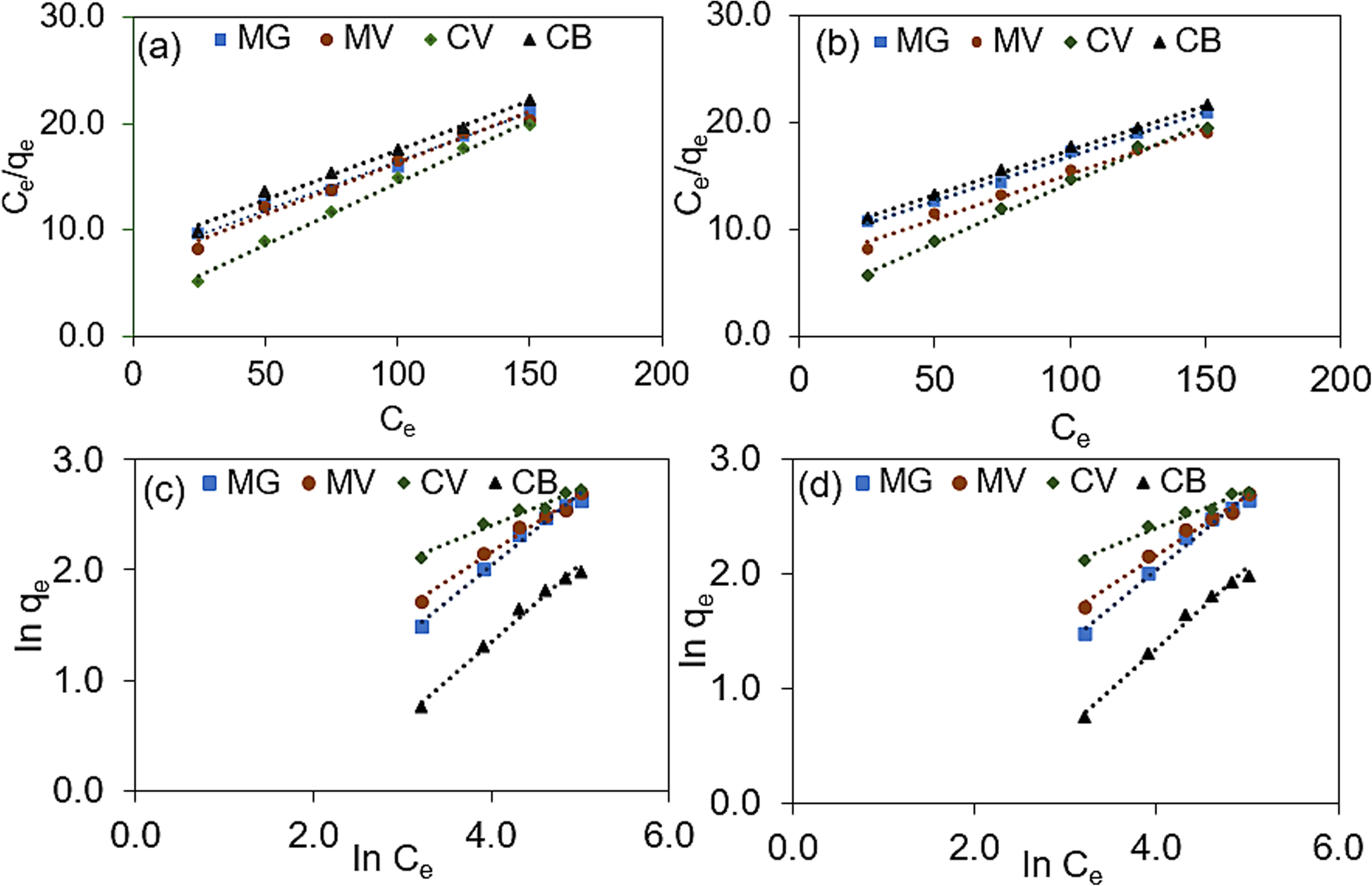
Fig. 11

Isotherm models based on (a) Langmuir model for the sorption of TPM dyes by live and (b) dead cells; (c) Freundlich model for the sorption of TPM dyes by live and (d) dead cells

Isotherm models based on (a) Langmuir model for the sorption of TPM dyes by live and (b) dead cells; (c) Freundlich model for the sorption of TPM dyes by live and (d) dead cells